Resposta Exercício 2 - Técnicas Regime Permanente: mudanças entre as edições
Ir para navegação
Ir para pesquisar
imported>Fargoud Sem resumo de edição |
imported>Fargoud Sem resumo de edição |
||
| Linha 19: | Linha 19: | ||
Análise da Malha 2-2: | Análise da Malha 2-2: | ||
[[image: | [[image: ex2rpcircca042.gif|center]] | ||
Igualando-se as equações da Malha 1 da Malha 2-1: | Igualando-se as equações da Malha 1 da Malha 2-1: | ||
Edição das 19h45min de 22 de março de 2017
O circuito fasorial fica:
A impedância resultante do paralelo fica:
Análise da Malha 1:
Análise da Malha 2-1:
Se a fonte V2 for considerada como estando em concordância com V1, o desenvolvimento da Malha 2 fica:
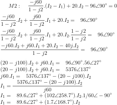
Análise da Malha 2-2:
Igualando-se as equações da Malha 1 da Malha 2-1:
Igualando-se as equações da Malha 1 da Malha 2-2:
, como foi divulgado inicialmente.




