AULA 13 - Circuitos 2 - Engenharia
Transformadores
Conceitos
O transformador, ou trafo, é um dispositivo que converte a energia elétrica de um nível de tensão e corrente, a outro.
O transformador está baseado no principio de que a energia elétrica pode se transportar de uma bobina para outra, por meio de indução eletromagnética.
O transformador é constituído de duas ou mais bobinas, ou enrolamentos, e um “caminho”, ou circuito magnético, que “acopla” essas bobinas.
Bobina, nada mais é do que um fio enrolado sobre ele mesmo, reduzindo espaço e concentrando os campos eletro-magnéticos. Ao enrolarmos, chamamos cada “volta” de espira.
Existe diversos tipos de transformadores com diferentes tipos de construção, mas todos funcionam com o mesmo princípio: indução eletromagnética.
- Enrolamento primário é no qual entra a energia que vai ser transformada, lado esquerdo
do desenho.
- Enrolamento secundário é onde sai a energia que foi transformada, lado direito.
- O caminho, nesse caso, é um núcleo metálico que concentra os campos eletro-magnéticos,
o quadrado onde estão enroladas as bobinas.
Trata-se de um dispositivo de corrente alternada que opera com base nos princípios eletromagnéticos da Lei de Faraday e da Lei de Lenz, que resumidamente, dizem:
"Todo condutor quando percorrido por energia elétrica gera em torno de si, campo eletromagnético proporcional ao comprimento do condutor ou ao valor da energia utilizada."
"Todo condutor quando inserido em um campo eletro-magnético sofre a indução de energia elétrica proporcional ao comprimento do condutor ou à intensidade desse campo."
"A tensão induzida em circuito fechado por um fluxo magnético variável produzirá uma corrente de oposição à variação do fluxo que a criou"
Observe que o gerador fornece corrente elétrica para um enrolamento, o primário, e a variação desta corrente gera o campo eletro-magnético, representado pelas setas vermelhas.
Nesse campo, e sem nenhum contato físico com o primário, introduzimos outro enrolamento, o secundário, no qual será induzida outra corrente (e outra tensão) por esse campo, que pode ser medida pelo multímetro.
Embora o fluxo magnético seja conveniente para se entender o funcionamento do transformador, ele não é usado na análise dos circuitos dos transformadores. Ao contrário, ou são usada as relações das espiras, ou as indutâncias, como será explicado.
Aplicações dos trafos
Os trafos são componentes elétricos muito importantes.
As principais aplicações dos trafos são:
- Nos sistemas de potência elétrica:
- adequar os níveis de tensão nos sistemas de geração, transmissão e distribuição de energia elétrica
- aumentar a eficiência da transmissão.
Exemplo da necessidade do uso de trafos em sistemas de potência:
Seja um gerador com tensão terminal de 10KV e capacidade de 200 MW, e que se deseja que esta energia/potência seja transmitida para uma carga situada a uma distância de 20km. Qual seria a perda??
Tem-se que:
Com o uso de trafos:
- Nas aplicações eletrônicas:
- combinam as impedâncias da carga às impedâncias da fonte, para máxima transferência de potência.
- podem acoplar amplificadores sem qualquer conexão metálica, que poderiam conduzir/propagar correntes cc.
- isolar eletricamente circuitos de controle e eletrônica, do circuito de potência principal ("fonte")
- podem funcionar com capacitores para filtrar sinais.
Regra da mão direita
A direção do fluxo produzido pela corrente que passa num enrolamento pode ser determinada pela regra da mão direita:
Se os dedos da mão direita envolvem um enrolamento na direção da corrente, o polegar vai apontar na direção do fluxo produzido no enrolamento, por esta corrente.
Princípio de funcionamento
- O que acontece se energizarmos a bobina 1 com uma fonte de corrente contínua??
- O que observa a bobina 2?
- O que acontece se energizarmos a bobina 1 com uma fonte de corrente alternada??
- O que observa a bobina 2?
Pela lei de indução de Faraday, surge uma tensão induzida na bobina 2 do transformador:
Se uma carga for conectada à bobina 2, uma corrente i2 circulará pela mesma.
Pela lei de Lenz, o sentido da corrente i2 é de forma a se opor à variação do fluxo magnético que a criou.
Transformador ideal
No transformador ideal, isto é, sem perdas:
- resistência dos enrolamentos é desprezível.
- A permeabilidade do núcleo é infinita (portanto, a corrente de magnetização é nula).
- Não há dispersão.
- Não há perdas no núcleo.
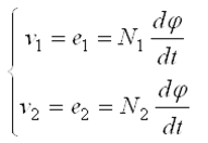
Equação fundamental do transformador
Considerando o trafo ideal em vazio (i2 = 0):
Desta forma, temos:
Em que a é a relação de espiras do transformador, denominada de relação de transformação.
Para tensões senoidais, em termos de fasores:
Considerando uma carga no secundário, existirá uma corrente i2 no mesmo, que criará uma forma magneto-motriz N2i2, no sentido de alterar o fluxo no núcleo (desmagnetizando o núcleo).
Portanto, o equilíbrio entre as forças magnetomotrizes será perturbado.
Potências nos transformadores
A segunda equação do circuito magnético do trafo é dada por:
Visto que N1.i1 = N2.i2 , a única maneira do balanço se manter é a corrente i1 variar com o aumento de i2.
Pode-se dizer que uma fmm adicional é exigida do primário.
Assim, temos:
Em termos fasoriais:
Obs: Na prática, é necessária uma pequena corrente de magnetização no enrolamento primário, para estabelecer o fluxo no núcleo.
A potência instantânea no primário é dada por p1(t) = v1.i1.
A potência instantânea no secundário é dada por p2(t) = v2.i2.
Substituindo:
p1(t) = v1.i1 = (a.v2).(i2/a) = v2.i2 = p2(t)
Portanto, mantém-se a potência instantânea nos dois lados, o que era esperado, visto que a perdas foram desprezadas!!!
Em termos fasoriais:
Impedâncias nos transformadores
Ao se conectar uma impedância no secundário, qual a impedância vista pelo primário?
Temos que a impedância nos terminais do secundário é dada por:
Analogamente, a impedância equivalente vista dos terminais do primário (vista pela fonte) é:
A impedância conectada ao terminal do secundário produz no primário o mesmo efeito que o produzido por uma impedância equivalente Z2´ conectada aos terminais do primário.
Z2´ é chamada de impedância do secundário refletida no primário:
De maneira similar, as correntes e tensões podem ser refletidas de uma lado para o outro, através da relação de espiras:
Exemplo:
Casamento de impedância via transformador
Um auto falante tem uma impedância resistiva de 9 Ω, o qual é conectado a uma fonte de 10V, com impedância resistiva interna de 1Ω, como mostrado abaixo:
(a) Determine a potência entregue pela fonte ao auto falante.
(b) Para maximizar a transferência de potência para o auto falante, um transformador com uma relação de espiras de 1:3 é usado para conectá-lo à fonte, como mostrado na figura abaixo. Determine a potência entregue pela fonte ao auto falante, neste caso.
Convenção dos pontos
O uso de pontos nos terminais dos enrolamentos, de acordo com a convenção dos pontos é um método conveniente para especificar as relações da direção dos enrolamentos.
Um terminal de cada enrolamento é ponteado, ou marcado de alguma maneira, sendo escolhidos os terminais ponteados para que as correntes que atravessam os terminais ponteados produzam fluxos que se adicionem.
Tipos de trafos
Existe uma infinidade de tipo e modelos de transformadores. Eles estão presentes na maioria dos aparelhos elétricos e eletrônicos encontrados normalmente em casa, tais como, por exemplo, computador, aparelho de som e televisor. Cabe-lhes abaixar ou aumentar a tensão da rede elétrica, de forma a alimentar de modo conveniente os vários circuitos que necessitam dela.
O mais comum é o redutor, que abaixa o valor da tensão da tomada para utilização em equipamentos de baixa potência como celulares, aparelhos de som, rádios, tv entre outros.
Perdas no transformador
Graças às técnicas com que são fabricados, os transformadores modernos apresentam grande eficiência, permitindo transferir ao secundário cerca de 98% da energia aplicada no primário. As perdas são devidas, entre outras coisas, às resistências dos fios de cobre nas espiras primárias e secundárias, são sob a forma de calor e não podem ser evitadas.




































