| Name | Last modified | Size | Description | |
|---|---|---|---|---|
| Parent Directory | - | |||
| Anuário_2014_-_Itajaí.xls | 2014-06-07 21:40 | 74K | ||
| Aru-2010-1-edi_cap5.pdf | 2010-04-29 22:10 | 160K | ||
| Aula_1_Eletricidade_Basica_-_H1_grandezas.pdf | 2010-08-06 15:12 | 484K | ||
| CIRC2ExemploNós4-1-2.png | 2023-09-01 18:11 | 42K | ||
| Circserie5-7.png | 2022-09-26 16:35 | 11K | ||
| Demux81-2.png | 2016-06-28 13:19 | 45K | ||
| Disp1602pin2.png | 2019-02-13 16:08 | 38K | ||
| Ex3dm.jpg | 2015-09-29 16:20 | 44K | ||
| ExemplArrays6.png | 2022-04-20 18:46 | 18K | ||
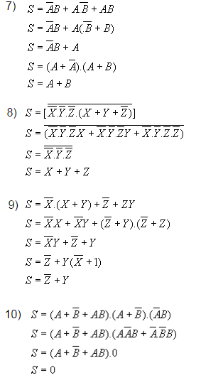
| Exercsimplifalg3.png | 2016-09-28 16:40 | 13K | ||
| Hor212atualEng.pdf | 2021-10-11 16:55 | 781K | ||
| Mapak52.png | 2021-07-15 12:26 | 1.8K | ||
| PortariaPNP_51_nov_2018.pdf | 2019-05-09 10:48 | 209K | ||
| Prop2or.gif | 2015-09-24 13:32 | 13K | ||
| Rodolfo_Butcher.pdf | 2008-07-25 11:11 | 1.7M | ||
| Tela1_dbdesigner.png | 2015-11-26 14:34 | 23K | ||
| Trafos9.png | 2017-05-24 12:52 | 6.8K | ||
| Unidade_8_Marketing.pdf | 2008-07-21 08:34 | 287K | ||