| Name | Last modified | Size | Description | |
|---|---|---|---|---|
| Parent Directory | - | |||
| 2011-1_ean_pratica01.pdf | 2011-02-16 11:14 | 88K | ||
| 2012-1_ean_pratica06.pdf | 2012-04-10 16:21 | 207K | ||
| 2012-1_ean_pratica08.pdf | 2012-06-02 08:51 | 108K | ||
| Apostila_empreendedorismo.pdf | 2008-07-23 10:25 | 819K | ||
| Aru_manual2008.pdf | 2008-07-30 10:39 | 397K | ||
| Atrito3.gif | 2015-10-03 21:42 | 17K | ||
| CIRC2ExemploNós4-2.png | 2023-09-01 17:23 | 15K | ||
| CIRC2P3exercpot1.jpg | 2024-07-09 12:24 | 245K | ||
| CIRC2Z3.png | 2023-09-01 13:04 | 5.0K | ||
| Cepe-registrar-se-01.png | 2013-08-20 11:32 | 162K | ||
| Fluxogramaexemplo.png | 2017-07-24 17:18 | 20K | ||
| Medias171A.png | 2017-06-26 09:37 | 110K | ||
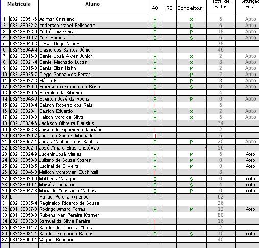
| Notas_nota.jpg | 2008-12-17 20:13 | 89K | ||
| PROGRAMA_DE_ENSINO_E_APRENDIZAGEM_TRAFO.pdf | 2009-02-12 16:57 | 129K | ||
| Perfis_soldados.pdf | 2009-04-30 11:43 | 878K | ||
| SCRATCHjogo2.png | 2022-05-04 11:24 | 17K | ||
| SCRATCHsom2.png | 2022-05-03 10:26 | 73K | ||
| SCRATCHtela2.png | 2022-05-02 16:07 | 41K | ||
| Setcursor.png | 2019-02-13 16:46 | 177K | ||
| TabelaIntelp.png | 2018-02-20 10:28 | 155K | ||
| Tipostensao.png | 2022-09-20 12:00 | 135K | ||
| Tv1in.jpg | 2015-09-28 15:12 | 16K | ||