AULA 15 - Circuitos 2 - Engenharia
Modificado de [1]
Circuitos Polifásicos
Enquanto num circuito monofásico existe apenas uma fonte de energia A.C. ou várias fontes fornecendo energia em fase à carga, nos circuitos polifásicos existem 2 ou mais fontes de tensão iguais com diferenças nas fases fixas, i.e., iguais em amplitude mas simétricas nas fases, fornecendo energia às cargas ligadas em linha.
A geração e transmissão de energia elétrica é mais eficiente em sistemas polifásicos que empregam combinações de 2, 3 ou mais tensões sinusoidais.
O sistema trifásico foi independentemente inventado por Galileo Ferraris, Mikhail Dolivo-Dobrovolski e Nikola Tesla nos meados do fim da década de 1880.
Circuito Trifásico Equilibrado
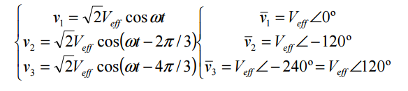
É constituído por 3 tensões sinusoidais possuindo amplitudes e frequências iguais, com desafamento de 120º entre si.
Vaa’ + Vbb’ + Vcc’ = 0
Isto é feito dispondo-se sobre o mesmo eixo, três bobinas deslocadas entre si de 2π/3 rad e girando o conjunto com velocidade angular constante no sentido horário, no interior de um campo magnético uniforme. Nos terminais das bobinas aparecerá um sistema de tensões de mesmo valor máximo e defasadas entre si de 2π/3 rad , conforme a Figura:
Define-se, para um sistema polifásico simétrico, “seqüência de fase” como sendo a
ordem pela qual as tensões das fases passam pelo seu valor máximo.
Por exemplo, no sistema trifásico da Figura. 4.1, a seqüência de fase é A-B-C, uma vez que as tensões passam consecutivamente pelo valor máximo na ordem A-B-C.
Evidentemente, uma alteração cíclica não altera a seqüência de fase, isto é, a seqüência A-B-C é a mesma que B-C-A e que C-A-B.
À seqüência A-B-C é dado o nome “seqüência direta” ou “seqüência positiva”, e à seqüência A-C-B, que coincide com C-B-A e B-A-C, dá-se o nome de “seqüência inversa” ou “seqüência negativa”.
Exemplo
Um sistema trifásico simétrico tem seqüência de fase negativa, B-A-C, e VC = 220 ∠ 40° V . Determinar as tensões VA e VB .
Solução:
Sendo a seqüência de fase B-A-C, a primeira tensão a passar pelo valor máximo será VB , a qual será seguida, na ordem, por VA e VC . Portanto, deverá ser:
VB = Vm. cos( ωt + θ)
VA = Vm. cos( ωt + θ - 2π/3)
VC = Vm. cos( ωt + θ - 4π/3)
em que θ representa o ângulo inicial ou a rotação de fase em relação à origem.
No instante t=0, tem-se:
VB = Vm. cos(θ)
VA = Vm. cos(θ - 2π/3)
VC = Vm. cos(θ - 4π/3)
Sendo V = Vm/ √2 , fasorialmente tem-se:
VB = V ∠ θ
VA = V ∠ (θ - 2π/3)
VC = V. ∠(θ - 4π/3)
Por outro lado, sendo dado VC = 220 ∠ 40° V , resulta
V = 220 V
θ + 120 = 40° → θ = − 80°
e portanto
VB = 220 ∠ − 80°
VA = 220 ∠ − 200°
VC = 220. ∠ 40°
Tensão composta
Redes Trifásicas
O sistema de produção, transporte e distribuição de energia elétrica tem a seguinte constituição:
Nas centrais há geradores de corrente alternada (acionadas por turbinas hidráulicas ou máquinas térmicas). Nas grandes usinas geradoras o nível de tensão na saída dos geradores está normalmente na
faixa de 6 a 25 kV.
Para poder ser transmitida, a tensão produzida é, então, elevada. As tensões usuais de transmissão adotadas no Brasil, em corrente alternada, podem variar de 138 kV até 765 kV, incluindo neste intervalo as tensões de 230 kV, 345 kV, 440 kV e 500 kV.
O transporte de energia elétrica é feita pelas linhas de alta tensão até às subestações, situadas junto dos centros consumidores.
Os sistemas ditos de subtransmissão contam com níveis mais baixos de tensão, tais como 34,5 kV, 69 kV ou 88 kV e 138 kV e alimentam subestações de distribuição, cujos alimentadores primários de saída operam usualmente em níveis de 13,8 kV.
Junto aos pequenos consumidores existe uma outra redução do nível de tensão para valores entre 110 V e 440 V, na qual operam os alimentadores secundários. Nas cidades, há redes de cabos aéreos e subterrâneos que transportam a energia até aos pontos de transformação onde a tensão é reduzida a 110V ou 220V, para alimentar instalações de baixas tensão.
Cada posto de transformação alimenta um grande consumidor, fábrica, ou um grupo de pequenos consumidores, conjunto de edifícios residenciais.
O transporte da energia elétrica é feito em alta tensão para reduzir as perdas: P = Vef. Ief. cosϕ .
Para a mesma potência, se a tensão for maior, a corrente é menor, logo as perdas nos condutores, Ief². R, são menores.
O sistemas de produção, transporte e distribuição de energia elétrica constitui uma rede trifásica, com várias vantagens:
- Usam-se apenas 3 ou 4 condutores (fase 1,2,3, neutro) em vez de 6 (no caso de 3 redes monofásicas separadas)
- Nos geradores e motores o binário é constante (ausência de vibração)
- Motores e geradores são mais simples.
Na conexão estrela podemos calcular o valor eficaz das tensões de linha a partir dos valores eficazes das tensões de fase:
V linha =√3 Vfase
E as correntes de fase são idênticas às correntes de linha, pois a corrente que circula por uma das cargas é a mesma que circula por uma das fases.
Na conexão triângulo, ou delta, a tensão de fase é igual a tensão de linha pois a tensão aplicada sobre cada uma das cargas é a diferença entre as tensões aplicadas às cargas vizinhas. E os valores eficazes das correntes de linha podem ser calculadas com os valores eficazes das 'correntes de fase':
I linha=√3 Ifase
Pressupondo um sistema balanceado, que nem sempre ocorre na prática.
LIGAÇÕES EM ESTRELA
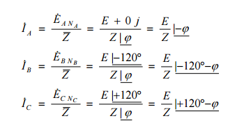
Supondo que sejam alimentadas, a partir dos terminais das três bobinas do item precedente, três impedâncias quaisquer, Z, porém iguais entre si (carga equilibrada).
É evidente que os três circuitos assim constituídos formam três circuitos monofásicos, nos quais circularão as correntes:
Isto é, nos três circuitos circularão correntes de mesmo valor eficaz e defasadas entre si de 120° .
Observa-se que os três circuitos são eletricamente independentes, e portanto pode-se interligar os pontos NA, NB e NC, designados por N, sem que isso venha a causar qualquer alteração nos mesmos.
Por outro lado, observa-se que os pontos NA', NB' e NC' estão ao mesmo potencial que o ponto N; logo, podem ser interligados designando-os por N ′. A corrente que circula pelo condutor NN ′ é dada por
INN' = IA + IB + IC = 0 ,
pois as três correntes aferentes ao nó N ′ têm o mesmo valor eficaz e estão defasadas entre si de 2π/3 rad. Deve-se salientar a mesma conclusão poderia ser obtida, observando que os pontos N e N ′ estão no mesmo potencial.
O condutor que interliga os pontos N e N′ recebe o nome de fio neutro ou quarto fio.
Evidentemente, sendo nula a corrente que o percorre, poderia ser retirado do circuito.
Observa-se aqui uma das grandes vantagens dos sistemas trifásicos. Para a transmissão da
mesma potência, são utilizados 3 ou 4 fios, enquanto seriam necessários 6 fios se fossem
utilizados 3 circuitos monofásicos.
Ao esquema de ligação assim obtido é dado o nome de circuito trifásico simétrico com
gerador ligado em "estrela" (Y) e carga "equilibrada em estrela" (Y), dando-se o nome de
"centro-estrela" ao ponto N ou N´.
Definem-se:
- Tensão de fase: tensão medida entre o centro-estrela e qualquer um dos terminais do gerador ou da carga;
- Tensão de linha: tensão medida entre dois terminais (nenhum deles sendo o "centroestrela") do gerador ou da carga. Evidentemente, define-se a tensão de linha como sendo a tensão medida entre os condutores que ligam o gerador à carga;
- Corrente de fase: corrente que percorre cada uma das bobinas do gerador ou, o que é o mesmo, corrente que percorre cada uma das impedâncias da carga;
- Corrente de linha: corrente que percorre os condutores que interligam o gerador à carga (exclui-se o neutro).
Salienta-se que as tensões e correntes de linha e de fase num sistema trifásico simétrico e equilibrado têm, em todas as fases, valores eficazes iguais, estando defasadas entre si de 2π/3 rad.
Em vista deste fato, é evidente que a determinação desses valores num circuito trifásico com gerador em Y e carga em Y, resume-se à sua determinação para o caso de um circuito monofásico constituído por uma das bobinas ligada a uma das impedâncias por um condutor de linha, lembrando ainda que a intensidade de corrente no fio neutro é nula.
De acordo com as definições apresentadas, tem-se a Tabela abaixo, que apresenta todos os
valores de linha e de fase para o circuito da Figura. 4.1.
Um gerador trifásico simétrico é equivalente a um conjunto de três geradores iguais cujas tensões estão desfasadas de (120º) 2π/3:
As tensões compostas são as tensões entre as fases v12, v23, v13, como se indica nos seguinte diagrama vetorial.
O valor eficaz das tensões compostas V∆ef é
V∆ef = 2 Vef .cos(π / 6) = √3 Vef.
Por exemplo: na rede de distribuição em baixa tensão, a tensão simples é Vef = 220 V e a tensão composta, V∆ef = 380V.
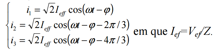
Uma carga trifásica simétrica é constituída por 3 impedâncias iguais:
Se o gerador e a carga forem simétricos, as correntes serão iguais e desfasadas de 120º:
Numa rede trifásica simétrica tem-se, assim,
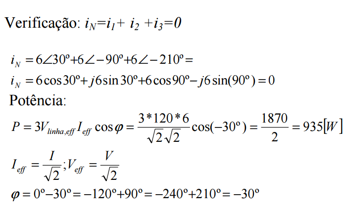
i1+ i2 +i3 = 0
A potência fornecida pelo gerador à carga é:
p(t) = v1.i1 + v2.i2 + v3.i3
Se a rede trifásica for simétrica, potência instantânea é constante:
p(t) = 3.Vlinha,ef . I ef .cosϕ
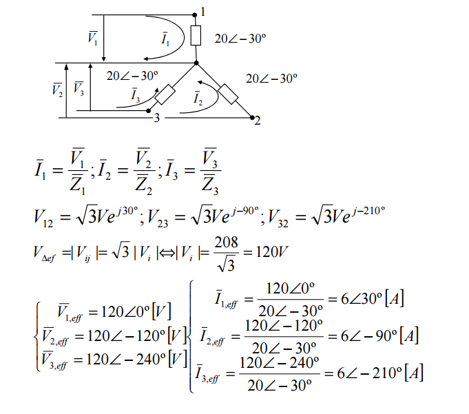
EXEMPLO:
Um sistema trifásico a 4 condutores, (tensão composta V∆ef = 208V) alimenta uma carga em estrela equilibrada, constituída por impedâncias 20∠−30º . Calcular as correntes da linha e a potência fornecida pelos geradores.
Sistema Y Equilibrado
LIGAÇÕES EM TRIÂNGULO/DELTA
Tanto o gerador quanto a carga podem ser ligados em triângulo, como seguir indica a figura,
As cargas são aplicadas às tensões compostas.
A corrente por fase e na linha não são coincidentes e a tensão nas cargas corresponde à tensão composta.
O gerador e a carga não têm de ser necessariamente em estrela ou ambos em triângulo: pode um ser em estrela e o outro em triângulo (Y-∆) .
Em qualquer caso , a potência transmitida, se a rede for simétrica, pode sempre calcular-se através de



























