AULA 1 - Circuitos Elétricos 2 - Graduação
REVISÃO - Conceitos básicos
Tensão elétrica (diferença de potencial) V
Sabemos que uma carga elétrica gera em seu redor um campo elétrico.
Dá-se o nome de potencial elétrico à medida associada ao nível de "energia potencial" de um ponto de um campo elétrico.
Colocando uma carga de prova q em um ponto P de um campo elétrico, essa carga adquire uma energia, devido ao potencial elétrico deste ponto.
Em outras palavras, a carga de prova vai ser atraída ou repelida, e vai sofrer um deslocamento, em função disto. Toda força que provoca um deslocamento, está realizando um trabalho.
A unidade de medida do potencial elétrico é o Volt [V].
O potencial elétrico, medido em Volts (V), é definido, então, como o trabalho da força elétrica sobre uma carga eletrizada, para que haja deslocamento entre dois pontos.
A tensão elétrica V, medida em Volts [V] é a diferença de potencial elétrico entre dois pontos.
A tensão elétrica indica o TRABALHO que deve ser realizado, a energia que terá que ser dispensada, por unidade de carga, contra um campo elétrico, para se movimentar uma carga Q qualquer (em Coulombs, C).
Uma tensão de 1 V é necessária para mover uma carga de 1 C de um ponto a a um ponto b.
Corrente elétrica I
Deslocamento de cargas elétricas (Q).
Gerada a partir da imposição de uma “tensão” que coloca o sistema em movimento.
Medida em Ampères (A):
Simbologia
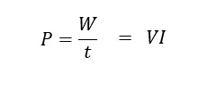
Potência P
É a taxa de consumo (ou geração) de energia.
Medida em Watts (W)
Simbologia
Resistência Elétrica R
Capacidade do elemento de “resistir”, opor-se à uma corrente elétrica.
É devida às colisões entre elétrons livres e outros elétrons, íons e átomos durante o movimento.
Medida em Ohm(Ω)
Associação de Resistores
SÉRIE:
PARALELA:
Capacitância Elétrica C
Capacidade de armazenar energia em seu campo elétrico.
Formada por duas placas condutoras separadas por um dielétrico (isolante).
Medida em Farad (F)
Associação de Capacitores
Indutância Elétrica L
Capacidade de armazenar energia em seu circuito magnético.
Formada por uma bobina de fio condutor que circunda um núcleo (ar ou material ferromagnético).
Medida em Henry(H)
Associação de Indutores
Geração em corrente alternada (CA)
A tensão alternada pode ser produzida por meio de um equipamento gerador chamado alternador.
Nele, espiras condutoras giram continuamente, sobre um eixo, de ângulos que variam de 0° a 360° (ou 0 radianos a 2π radianos), sob a influência de um campo magnético, exercido por dois ou mais polos.
Um gerador elementar, com uma única espira e dois polos magnéticos, é mostrado abaixo. À medida que a espira se movimenta, ela induz em seus terminais uma corrente alternada, gerando assim uma tensão alternada senoidal, como pode ser visualizada nas Figuras abaixo.
A função senoidal
Parâmetros
Tensão de pico
Sinais adiantados
Sinais em atraso
Exercícios
Valor Médio
O Valor médio de um sinal indica a média dos valores do sinal (função) em um determinado período de tempo.
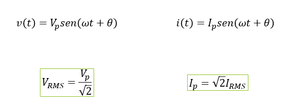
Valor Eficaz (RMS)
É o valor contínuo de corrente (ou tensão) que fornece uma potência média a um resistor, que seja equivalente à potência fornecida a este mesmo resistor por uma corrente (ou tensão) alternada.
Também chamado de equivalente contínuo ou valor "raiz do quadrado médio", ou Root Mean Square (RMS), em inglês.
Em tensões senoidais:
Exemplos:
Representação fasorial
Número complexo que representa a amplitude e a fase de uma senoide.
Relações entre formas polar e retangular
Convenção adotada
Exemplos
Exercícios para casa:
Bibliografia
[1] SADIKU, M. N. O.; MUSA, S. M.; ALEXANDER, W. K. Análise de Circuitos Elétricos com Aplicações. Porto Alegre: Mc Graw Hill Education, 2014. v. 3.
[2] BOYLESTAD, R. L. Introdução à Análise de Circuitos. 12a ed. São Paulo: Pearson, 2011.
[3] GIF onda eletromagnética. Disponível em: <http://www.if.ufrgs.br/cref/camiladebom/Aulas/Pages/2.html>
[4] GIF onda sonora. Disponível em: <https://gifimage.net/ondas-sonoras-gif-6/>
[5] GIF oscilação mola. Disponível em: <https://www.if.ufrj.br/~bertu/fis2/oscila/oscilacoes.html>
[6] GIF senoide e fasor. Disponível em: <https://www.mql5.com/pt/articles/288>
| << Página do curso | Revisão, Geração CA e Fasores | Reatâncias e Impedâncias >> |
|---|

































