AULA 3 - Eletricidade Básica - FIC
<<< Voltar para página principal do curso
CARGA HORÁRIA: 5 h
CARGA HORÁRIA TEÓRICA: 4 h CARGA HORÁRIA PRÁTICA: 1 h
MATERIAIS
Por aluno:
- 1 multímetro
- fonte de tensão CC
- gerador de função CA
- pilhas e baterias diversas
METODOLOGIA
- Exposição dialogada dos conteúdos disponíveis, em projetor multimídia.
- Navegação assistida em outros sites e portais, de conteúdos relacionados.
- Montagens práticas e desenvolvimento em computador de aplicativos.
- Testes de verificação e validação.
As Forças Elétricas
Em 1785, Charles Augustin Coulomb (1736-1806) fez uma série de medidas.
Mediu as forças elétricas entre duas pequenas esferas carregadas. Percebeu que algumas esferas atritadas em diferentes materias eram atraídas entre si. Já outras, depois de atritadas com outros materiais, repeliam-se.
Ele descobriu que a força dependia do valor das cargas e da distância entre elas.
E, através de muitas experimentações, descobriu uma relação fixa:
A força é inversamente proporcional ao quadrado da distância entre as cargas.
Ou seja, quanto maior a distância, muito menor a força:
Quanto menor a distância, muito maior a força:
A força é diretamente proporcional ao valor da carga total em cada um dos corpos:
Campo Elétrico
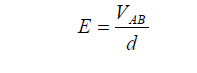
Campo Elétrico é o campo estabelecido ao redor do corpo, em todos os pontos do espaço, sob influência de uma carga geradora de intensidade Q.
A equação do campo elétrico é dada por:
O campo elétrico pode ter pelo menos quatro orientações diferentes de seu vetor devido aos sinais de interação entre as cargas, quando o campo é gerado por apenas uma carga, estes são:
Quando uma única partícula é responsável por gerar um campo elétrico, este é gerado em um espaço que a circunda, embora não esteja presente no ponto onde a partícula é encontrada. Este campo é chamado de puntiforme.
Tensão Elétrica
Potencial elétrico
Vimos que uma carga elétrica gera em seu redor um campo elétrico.
Dá-se o nome de potencial elétrico à medida associada ao nível de energia potencial de um ponto de um campo elétrico.
Colocando uma carga de prova q em um ponto P de um campo elétrico, essa carga adquire uma energia devido ao potencial elétrico deste ponto.
Em outras palavras, a carga de prova vai ser atraída ou repelida, e vai sofrer um deslocamento, em função disto. Toda força que provoca um deslocamento, está realizando um trabalho.
A unidade de medida do potencial elétrico é o Volt [V].
O potencial elétrico, medido em Volts (V), é definido, então, como o trabalho da força elétrica sobre uma carga eletrizada, no deslocamento entre dois pontos.
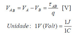
Diferença de potencial (ddp)
Considerando dois pontos A e B, e o valor do potencial no ponto B sendo nulo, então o potencial será dado por:
Como sabemos, neste deslocamento a força elétrica estará realizando um trabalho que vamos designar τAB.
Em outras palavras, τAB representa uma certa quantidade de energia que a força elétrica F transfere para a carga q, em seu deslocamento de A para B.
A grandeza que relaciona o trabalho que a carga q realiza é definida como diferença de potencial, ou tensão elétrica, conforme a fórmula abaixo:
Onde:
VA: Potencial elétrico no ponto A [V]
TAB: trabalho para deslocar uma carga do ponto A ao ponto B [J]
q: Carga elétrica [C]
O campo elétrico que existe entre um corpo com potencial elétrico VA e outro corpo com potencial elétrico VB separados por uma distância dAB, conforme mostra a figura abaixo, é definido por:
A tensão elétrica V, medida em Volts [V] é a diferença de potencial elétrico entre dois pontos.
A tensão elétrica indica o TRABALHO que deve ser realizado, por unidade de carga, contra um campo elétrico, para se movimentar uma carga qualquer.
Analogia com pressão hidrostática
Vamos fazer uma analogia da tensão com a instalação hidráulica mostrada na figura abaixo. O reservatório A está mais cheio que o reservatório B, portanto o reservatório A tem maior pressão hidráulica.
Ligando-se os reservatórios A e B com um cano, a pressão hidráulica de A ”empurra” a água para B, até que se igualem as pressões hidráulicas.
Supondo agora dois corpos A e B que possuem cargas elétricas diferentes.
O corpo A tem maior número de elétrons do que o corpo B; então dizemos que ele tem maior ”potencial elétrico”.
Há uma maior diferença de potencial elétrico (d.d.p.).
Ligando-se os corpos A e B com um condutor, o ”potencial elétrico” de A empurra os elétrons para B, até que se igualem os potenciais.
Comparando-se os dois casos, podemos dizer que o potencial elétrico é uma ”pressão elétrica” que existe nos corpos eletrizados.
Portanto dizemos que:
Tensão elétrica é a pressão exercida sobre os elétrons para que estes se movimentem.
O movimento dos elétrons através de um condutor é o que chamamos de corrente
elétrica.
Tipos de Fonte de Tensão
A tensão pode ser contínua no tempo (C.C.), fornecendo sempre o mesmo valor, ou quase isto; ou ser alternada (C.A.), isto é, tem um comportamento senoidal, variável na amplitude e no tempo, segundo uma certa frequência, em Hz.
A fonte mais utilizada para fornecimento de tensão continua é a bateria.
Porém, a tensão alternada pode ter os seus valores aumentados ou diminuídos com facilidade (através do emprego de transformadores), o que não ocorre com tensão contínua. Este é um fator muito importante para a transmissão e distribuição de energia elétrica.
Por isso, as fontes geradoras utilizadas pelas indústrias de energia elétrica são fontes de energia alternada.
O equipamento utilizado para o fornecimento de tensão alternada é o chamado Alternador e seu princípio de funcionamento se dá através da indução eletromagnética.
No caso de fornecimento de energia às indústrias que precisam utilizar, obrigatoriamente, tensão contínua, por exemplo nas indústrias químicas, são utilizados retificadores para a conversão da tensão alternada em tensão contínua.
Fontes:
Baterias:
Geradores de função CA:
Usinas de geração:
Unidades de medida da tensão
VOLT é utilizado como unidade de tensão elétrica, representado pela letra ”V”.
Exemplo
V= 127 volts = 127 V
Para tensões mais elevadas utilizamos os Kilovolt (KV).
13,8 kilovolt = 13,8 KV = 13.800 V
O aparelho utilizado para medir a tensão elétrica chama-se VOLTÍMETRO.
O Voltímetro
É o aparelho utilizado para medir tensão.
É utilizado, ligando-se as duas ponteiras do voltímetro em paralelo com os dois pontos entre os quais queremos medir a tensão.
Na prática, como a resistência interna do voltímetro não é exatamente infinita, estaremos alterando o circuito, pois estamos colocando a resistência interna do voltímetro em paralelo.
Cuidados na Utilização do Voltímetro
- Caso o voltímetro tenha polaridade, o lado (+) do mesmo deve ser ligado ao pólo positivo da fonte (normalmente sinalizado com a cor vermelha) e o lado (-) do aparelho com o negativo da fonte (normalmente, sinalizado na cor preta).
- A graduação máxima da escala deverá sempre ser maior que a tensão máxima que se deseja medir.
- Procura fazer a leitura mais próxima possível do meio da escala, para que haja maior precisão.
- O ajuste de zero deve ser feito sempre que for necessário, com ausência de tensão.
- Evitar qualquer tipo de choque mecânico.
- Usar o voltímetro sempre na posição correta, para que haja maior precisão nas leituras.
Prática
Utilize o voltímetro para medir as tensões de saída das fontes de tensão fornecidas em sala de aula.
Fontes Bibliográficas
COMISSÃO TRIPARTITE PERMANENTE DE NEGOCIAÇÃO DO SETOR ELÉTRICO NO ESTADO DE SÃO PAULO - CPN. Eletricidade Básica - Manual de treinamento curso básico segurança em instalações e serviços com eletricidade - NR 10 . Disponível em: https://portalidea.com.br/cursos/9f2909192195f210d6c6fa89c0894301.pdf
Lemes, Andryos da Silva. APOSTILA DE ELETRICIDADE BÁSICA. MINISTÉRIO DA EDUCAÇÃO, IFSP - CAMPUS DE PRESIDENTE EPITÁCIO. Disponível em:https://pt.scribd.com/document/280039386/Apostila-Eletricidade-Basica
SAMBAQUI, ANA BARBARA KNOLSEISEN; TAQUES, BÁRBARA OGLIARI. Apostila de Eletricidade. MINISTÉRIO DA EDUCAÇÃO - IFSC - CAMPUS JOINVILLE. Joinville, agosto, 2010. Disponível em: http://wiki.itajai.ifsc.edu.br/images/c/c1/Apostila_de_Eletricidade_IFSC_JOINVILE.pdf
Souza, Giovani Batista. ELETRICIDADE. MINISTÉRIO DA EDUCAÇÃO - IFSC - CAMPUS ARARANGUÁ. Edição: fev, 2009. Disponível em: https://wiki.sj.ifsc.edu.br/images/e/e6/Aru-2009-Agosto-eletricidade_basica.pdf
<<< Voltar para página principal do curso
| << Eletrostática | AULA 3 - Forças elétricas e Tensão | Corrente Elétrica >> |
|---|





























