AULA 4 - Circuitos Elétricos 2 - Graduação
Transformação de fontes
Uma fonte real de tensão, em série com uma impedância, pode ser transformada em uma fonte real de corrente, em paralelo com a impedância, e vice-versa, da seguinte forma:
Este artifício, normalmente, permite simplificar circuitos, eliminando malhas ou nós (e, portanto, incógnitas do sistema de variáveis), quando desejado.
Exemplo 10:
Analise o circuito abaixo utilizando substituição de fontes:
As fontes de corrente podem ser somadas diretamente, assim como as impedâncias em paralelo.
A fonte resultante será dada por: 4<-36.87 - 4,8<-90 = 3.2 - j2.4 - (-j.4.8) = 3.2 +j2.4 = 4<36.87
O circuito fica reduzido a:
e, V0, portanto, poderá ser calculado por 4<36.87 x 12 Ω = 48<36.87 [V]!!!
Exemplo 11:
Analise o Exemplo 2, da seção anterior, agora utilizando transformação de fontes:
No Matlab Mobile, versão GRATUITA para smarthphone:
Exemplo 12:
Analise o Exemplo 3, da seção anterior, agora utilizando transformação de fontes:
OU.... por análise nodal:
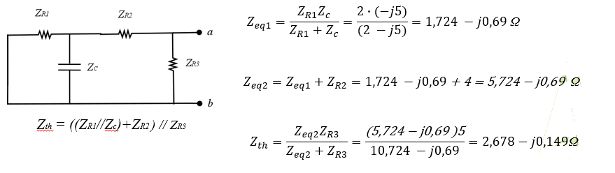
Equivalente de Thevènin em CA, RP
Impedância de Thèvenin/Norton em CA, RP
Método:
- Caso existam apenas fontes independentes: “excluir” as fontes independentes e calcular a impedância entre os pontos solicitados.
- Fontes de tensão viram curtos circuitos e
- fontes de corrente viram circuitos abertos.
- Caso existam fontes dependentes: não se podem “excluir” as fontes dependentes - a impedância deve ser calculada através da inserção de uma fonte auxiliar entre os pontos solicitados. A impedância Thèvenin será a razão da tensão auxiliar pela corrente gerada pela fonte auxiliar:
Observação - Criando funções no SCILAB
No Scilab é possível criar funções, para executar rotinas recorrentes. Por exemplo, as rotinas abaixo foram escritas pra encontrar o resultante de impedâncias em paralelo e para fornecer valor polar, de uma impedância na forma retangular, que vão facilitar bastante os cálculos de Thevenin e Norton:
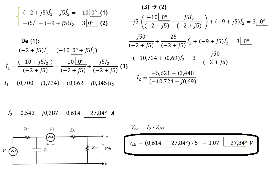
Exemplo 13:
Solução Computacional
Ou, utilizando o Scilab e as funções que definimos:
OU AINDA, usando o app Matlab Mobile:
Equivalente de Norton em CA, RP
Exemplo 14:
Solução Computacional
Ou, utilizando o Scilab e as funções que definimos:
Prova Real - verificação
Exercícios
Respostas questões 5 a 8 - Transformação de fontes, Thevenin e Norton
Bibliografia
[1] SADIKU, M. N. O.; MUSA, S. M.; ALEXANDER, W. K. Análise de Circuitos Elétricos com Aplicações. Porto Alegre: Mc Graw Hill Education, 2014. v. 3.
[2] BOYLESTAD, R. L. Introdução à Análise de Circuitos. 12a ed. São Paulo: Pearson, 2011.
[3] PETRY, C. Circuitos 2. Disponível em: Aula 4 - Impedância e Reatância, 2023.
[4] BALDINI Fo., Renato. EA-513 Circuitos Elétricos, Notas de Aula, Disponível em: Circuitos Elétricos, 2014.
| << Lei de Ohm, Divisor de corrente/tensão e Leis de Kirchoff em CA, RP | Equivalentes de Thevénin e Norton em CA, RP | Superposição em CA, RP >> |
|---|























