AULA 9 - Circuitos 2 - Engenharia
<<< Voltar para página principal do curso
Análise de circuitos CA em regime permanente
Baseado no curso de Circuitos Elétricos I, Prof. Renato Baldini Fo., do Departamento de Comunicações Faculdade de Engenharia Elétrica e de Computação, Universidade Estadual de Campinas. Disponível em: [http://www.decom.fee.unicamp.br/~baldini/EA513.htm]
Análise Nodal
Seja o circuito série abaixo.
A Relação tensão-corrente será dada por:
onde Zt é a impedância total do circuito série, vista através dos terminais da fonte, isto é:
Assim, a diferença entre circuitos resistivos e fasoriais, é que no segundo, tanto as excitações quanto as respostas são complexas.
Os próximos exemplos comprovam que os métodos de análise nodal e de malhas também podem ser utilizados em circuitos fasoriais.
Exemplo 1:
Seja o circuito acima, alimentado por sinal cossenoidal com ω = 2.
Na forma fasorial, o circuito será reescrito como:
onde:
Assim como seria feito num circuito puramente resistivo, pode-se simplificar o circuito calculando as impedâncias equivalentes dos paralelos:
Também como é feito em circuitos resistivos puros, arbitra-se tensões em cada um dos nós e faz-se o somatório das correntes nestes nós, na forma V/Z, quais sejam:
e resolve-se estas equações.
A solução através de determinantes seria:
Assim como na análise resistiva, uma melhor abordagem seria resolver o circuito por meio de suas admitâncias Y = 1/Z.
As equações nodais para soma de correntes tornam-se da forma Y.V:
e
Portanto, substituindo-se I em II:
Agora, calculando V2, pela substituição de (III) em (II):
Exemplo 2:
Na forma fasorial e já simplificado com as impedâncias resultantes dos paralelos, o circuito será reescrito como:
Assim como seria feito num circuito puramente resistivo, substitui-se a fonte dependente por um super-nó:
as equações nodais e a solução serão:
Análise de Malhas
Assim como num circuito resistivo puro, a análise de malhas pode ser aplicada em um circuito fasorial, simplesmente substituindo as indutâncias e capacitâncias por reatâncias e as tensões e correntes senoidais, por seus respectivos fasores.
Exemplo 3:
Seja o circuito abaixo:
Arbitra-se as correntes I1, I2 e I3 nas malhas:
A corrente na terceira malha será dada pelo valor da fonte de corrente de 5A.
As equações das tensões nas malhas, da forma Z.I serão dadas por:
e
Igualando ambas as equações:
Exemplo 4:
Seja o circuito abaixo, contendo fontes de corrente, dependentes e independentes:
Arbitra-se as correntes I1, I2 e I3 nas malhas:
Exercícios
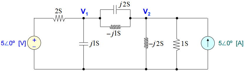
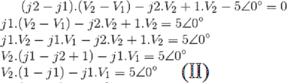
1) Calcule a tensão de saída Vo utilizando análise nodal, no circuito CA em regime permanente abaixo:
Resposta: V0 = 15.8<18.43 = 15 + j5
2) Calcule a tensão Vo utilizando análise de malhas, no circuito CA em regime permanente abaixo:
Resposta: Solução
3)
Resposta: vf =10cos(3t −90°) =10sen(3t)
4)
Resposta: v = = 24sen(4t) [V]
5)
Resposta: v = 2.82. cos(4t −135º) [V]
Outras técnicas
Além das análises sistemáticas de malhas e de nós, as técnicas básicas de análise de circuitos também podem ser aplicadas a circuitos CA fasoriais, em regime permanente, ou forçado:
Análise de Kirchoff
A análise de Kirchoff consiste em:
- identifica-se os N nós do circuito,
- identifica-se as M malhas internas do circuito,
- atribui-se uma corrente a cada ramo do mesmo,
- calcular-se o somatório destas correntes em cada um dos nós e
- calcular-se o somatório das tensões em cada malha.
Ou seja, cada circuito irá gerar (N + M) equações, menos (O + P), onde O é o número de correntes conhecidas e P, o número de tensões nos ramos conhecidas.
Exemplo:
Analise o circuito abaixo agora utilizando análise de Kirchoff:
As 2 equações de malha mais a equação do nó A tornam-se:
Na forma matricial - Z.I = V:
Resolvendo a equação acima da forma I = inversa(Z)*V obtém-se as correntes:
Mais informações: Análise de Kirchoff
Teorema de Millmann da substituição de fontes
A generalização do teorema de Millman é consequência da validade da transformação de fonte no regime forçado sinusoidal.
Como a Figura abaixo mostra, a aplicação sucessiva da transformação de fonte permite associar e simplificar tanto a associação em paralelo de fontes de tensão não ideais, como a associação em série de fontes de corrente.
A informação contida nas figuras é suficiente para constatar a igualdade na forma entre o teorema de Millman em notação fasorial e no domínio do tempo.
Exemplo:
Analise o circuito abaixo agora utilizando substituição de fontes:
As fontes de corrente podem ser somadas diretamente, assim como as impedâncias em paralelo.
A fonte resultante será dada por: 4<-36.87 - 4,8<-90 = 3.2 - j2.4 - (-j.4.8) = 3.2 +j2.4 = 4<36.87
O circuito fica reduzido a:
e, V0, portanto, poderá ser calculado por 4<36.87 x 12 Ω = 48<36.87 [V]!!!
Teorema do deslocamento de fontes
Algumas vezes é interessante transformar uma fonte independente em muitas outras, pois isto pode simplificar a análise do restante do circuito.
Quando isto é feito chamamos de explosão, transformação (pode ser usado com outro significado) ou deslocamento de fontes.
Uma fonte de tensão independente que tenha um de seus terminais ligados a mais de um elemento de circuito pode ser desmembrada removendo este nó, desde que cada elemento permaneça interligado em série com uma fonte de tensão de mesmo valor e polaridade.
A figura a seguir ilustra o fato.
Do ponto de vista do resto do circuito as formas de onda de tensão e corrente nos terminais A, B e C
permanecem inalteradas.
Exercícios
Resolva os circuitos anteriores pelos métodos de análise de Kirchoff, substituição de fontes e deslocamento de fontes.
<<< Voltar para página principal do curso
| << Circuitos RLC | Análise CA em regime permanente | Teoremas de Rede >> |
|---|



































