Breve revisão de relações trigonométricas
Ir para navegação
Ir para pesquisar
Comportamento dos sinais de seno e cosseno:
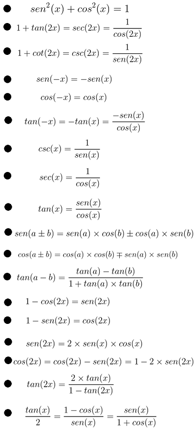
Identidades trigonométricas:
Relações de integrais de seno e cosseno:
| << Voltar para a aula Potência CA |
|---|


