Solução do Exercício de Leis de Kirchoff
De IFSC
Ir para navegação
Ir para pesquisar
<<< Voltar para aula
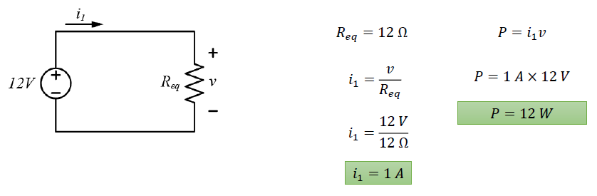
Resolução:
<<< Voltar para aula
Menu de navegação
Ferramentas pessoais
Entrar
Espaços nominais
Página
Discussão
português do Brasil
Visualizações
Ler
Ver código-fonte
Ver histórico
Mais
Pesquisa
Navegação
Página principal
Portal comunitário
Eventos atuais
Mudanças recentes
Página aleatória
Ajuda
Ferramentas
Páginas afluentes
Mudanças relacionadas
Páginas especiais
Versão para impressão
Link permanente
Informações da página