AULA 6 - Eletrônica Digital 1 - Graduação
<<<< Voltar para a página principal do curso
No capítulo anterior ficou evidente que minimizar circuitos eletrônicos é uma ARTE, antes de uma técnica!
É necessário dominar-se todos os teoremas, pra se ter garantia de ter chegado ao circuito ótimo.
Mas, além dos 20 teoremas citados no capítulo anterior, existem outras estratégias que permitem manipular as expressões, na tentativa de se eliminar termos.
Uma destas estratégias é a aplicação dos Teoremas de De Morgan.
1o. Teorema de De Morgan
O primeiro teorema de De Morgan estabelece que:
INV(A . B) = A' + B'
Graficamente:
2o. Teorema de De Morgan
O segundo teorema de De Morgan estabelece que:
INV(A + B) = A' . B'
Graficamente:
Uso dos teoremas de De Morgan
A principal aplicação dos teoremas de De Morgan é permitir a manipulação das expressões booleanas, de forma a simplificá-las consideravelmente. Isto também devido à propriedade das portas inversoras de que:
Ora, assim é possível aplicar-se os teoremas a qualquer operação de soma (OU) e de multiplicação (E) lógicas, bastando, para isto, barrar duas vezes a expressão.
Exemplo 1
Aplique os teoremas de De Morgan ao circuito abaixo, de forma a minimizá-lo, se possível.
Este circuito é composto, originalmente, de:
- uma porta NOT (CI 7404);
- uma porta AND (CI 7408);
- uma porta NAND (CI 7400);
- e uma porta NOR (CI 7402).
Resolução:
Circuito resultante (com redução de um porta NAND):
Exemplo 2
Aplique os teoremas de De Morgan ao circuito abaixo, de forma a minimizá-lo, se possível.
Este circuito é composto por:
- 1 porta AND (1 CI 7408);
- 1 porta NAND (1 CI 7400);
- 1 porta OR (1 CI 7432);
- 1 porta NXOR
- 1 porta NOT (1 CI 7404).
Resolução:
Ou:
Ou:
Ou:
Circuito resultante, com redução de uma porta NAND, uma OR e uma NXOR:
Exemplo 3
Aplique os teoremas de De Morgan ao circuito abaixo, de forma a minimizá-lo, se possível.
Este circuito é composto, originalmente, de:
- duas portas AND (CI 7408);
- uma porta NOR (CI 7402);
- uma porta XOR (CI 7486);
- e uma porta OR (CI 7432).
Resolução:
Circuito resultante, contendo apenas 1 CI 7408 (3 portas AND), 1 CI 7404 (2 inversoras) e 1 CI 7432 (1 porta OR):
Universalidade da porta NAND
A partir da porta NAND Pode-se implementar todas as operações básicas: AND, OR e NOT.
A comprovação vem dos próprios teoremas, vistos na aula anterior ( << Portas Lógicas Básicas ).
Porta NOT usando porta NAND
Pode ser comprovado que (A.A)' = A'.
Portanto, uma porta NAND com as duas entradas curto-circuitadas, funciona como inversora.
| A | A | A.A | (A.A)' |
|---|---|---|---|
| 0 | 0 | 0 | 1 |
| 1 | 1 | 1 | 0 |
Porta AND usando porta NAND
Pode ser comprovado que ((A.B)')' = A.B
Portanto, uma porta NAND seguida por outra porta NAND, com as duas entradas curto-circuitadas, funciona como AND.
| A | B | (A.B)' | ((A.B)')' |
|---|---|---|---|
| 0 | 0 | 1 | 0 |
| 0 | 1 | 1 | 0 |
| 1 | 0 | 1 | 0 |
| 1 | 1 | 0 | 1 |
Porta OR usando porta NAND
Pode ser comprovador que: (A'.B')' = A + B
Portanto, um circuito com duas entradas invertidas usando portas NAND e submetidas a outra porta NAND, funciona como porta OR.
| A | B | A' | B' | (A'.B')' |
|---|---|---|---|---|
| 0 | 0 | 1 | 1 | 0 |
| 0 | 1 | 1 | 0 | 1 |
| 1 | 0 | 0 | 1 | 1 |
| 1 | 1 | 0 | 0 | 1 |
Universalidade da porta NOR
A partir da porta NOR pode-se implementar todas as operações básicas: AND, OR e NOT.
A comprovação vem dos próprios teoremas, vistos na aula anterior ( << Portas Lógicas Básicas ).
Porta NOT usando porta NOR
Pode ser comprovado que (A+A)' = A'.
Portanto, uma porta NOR com as duas entradas curto-circuitadas, funciona como inversora.
| A | A | A+A | (A+A)' |
|---|---|---|---|
| 0 | 0 | 0 | 1 |
| 1 | 1 | 1 | 0 |
Porta OR usando porta NOR
Pode ser comprovado que ((A+B)')' = A+B
Portanto, uma porta NOR seguida por outra porta NOR, com as duas entradas curto-circuitadas, funciona como OR.
| A | B | (A+B)' | ((A+B)')' |
|---|---|---|---|
| 0 | 0 | 1 | 0 |
| 0 | 1 | 0 | 1 |
| 1 | 0 | 0 | 1 |
| 1 | 1 | 0 | 1 |
Porta AND usando porta NOR
Pode ser comprovador que: (A'+B')' = A . B
Portanto, um circuito com duas entradas invertidas usando portas NOR e submetidas a outra porta NOR, funciona como porta AND.
| A | B | A' | B' | (A'+ B')' |
|---|---|---|---|---|
| 0 | 0 | 1 | 1 | 0 |
| 0 | 1 | 1 | 0 | 0 |
| 1 | 0 | 0 | 1 | 0 |
| 1 | 1 | 0 | 0 | 1 |
Exercícios
- Comprove a universalidade da porta NAND, utilizando os teoremas de lógica booleana e de De Morgan
- Comprove a universalidade da porta NOR, utilizando os teoremas de lógica booleana e de De Morgan
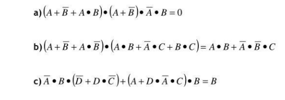
Lógica Booleana:
- Utilizando os teoremas de Boole e de De Morgan comprove as igualdades abaixo:
- Minimize a expressão abaixo utilizando os teoremas de álgebra booleana:
- Resposta:
Fontes
- BARANAUSKAS, José August, "Álgebra de Boole e Simplificação de Circuitos Lógicos", Departamento de Computação e Matemática – FFCLRP-USP.
- BERTINI, LUCIANO. "CAPÍTULO 4 CIRCUITOS COMBINACIONAIS". Departamento de Ciência da Computação (RCM)
Instituto de Ciência e Tecnologia (ICT). UNIVERSIDADE FEDERAL FLUMINENSE – CAMPUS RIO DAS OSTRAS.
- BORBA, Gustavo B. "Álgebra Booleana e simplificação algébrica - Notas de aula". Disciplina: EL66J. Departamento Acadêmico de Eletrônica - Curitiba, UTFPR.
- de MENEZES JR., José Maria P. "Circuitos Digitais" Curso de Engenharia Elétrica. Universidade Federal do Piauí.
- GUNTZEL, José Luís; NASCIMENTO, Francisco Assis do. "Introdução aos Sistemas Digitais", 2001.
- SENAI Espírito Santo. "Eletrônica Digital". Curso de Eletrotécnica Básica – Instrumentação. Companhia Siderúrgica de Tubarão.
| << Portas Lógicas Básicas | AULA 6 - Teoremas de De Morgan | >> Simplificação Algébrica |
|---|




















